WARNING:
JavaScript is turned OFF. None of the links on this concept map will
work until it is reactivated.
If you need help turning JavaScript On, click here.
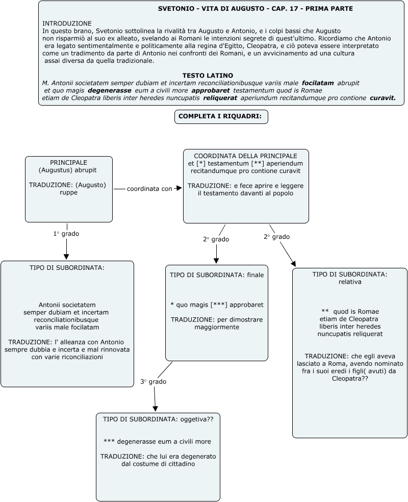
Questa Cmap, creata con IHMC CmapTools, contiene informazioni relative a: Esercizio cap 17 - 1 Leonardo, COORDINATA DELLA PRINCIPALE et [*] testamentum [**] aperiendum recitandumque pro contione curavit TRADUZIONE: e fece aprire e leggere il testamento davanti al popolo 2° grado TIPO DI SUBORDINATA: finale * quo magis [***] approbaret TRADUZIONE: per dimostrare maggiormente, PRINCIPALE (Augustus) abrupit TRADUZIONE: (Augusto) ruppe 1° grado TIPO DI SUBORDINATA: Antonii societatem semper dubiam et incertam reconciliationibusque variis male focilatam TRADUZIONE: l' alleanza con Antonio sempre dubbia e incerta e mal rinnovata con varie riconciliazioni, TIPO DI SUBORDINATA: finale * quo magis [***] approbaret TRADUZIONE: per dimostrare maggiormente 3° grado TIPO DI SUBORDINATA: oggetiva?? *** degenerasse eum a civili more TRADUZIONE: che lui era degenerato dal costume di cittadino, COORDINATA DELLA PRINCIPALE et [*] testamentum [**] aperiendum recitandumque pro contione curavit TRADUZIONE: e fece aprire e leggere il testamento davanti al popolo 2° grado TIPO DI SUBORDINATA: relativa ** quod is Romae etiam de Cleopatra liberis inter heredes nuncupatis reliquerat TRADUZIONE: che egli aveva lasciato a Roma, avendo nominato fra i suoi eredi i figli( avuti) da Cleopatra??, PRINCIPALE (Augustus) abrupit TRADUZIONE: (Augusto) ruppe coordinata con COORDINATA DELLA PRINCIPALE et [*] testamentum [**] aperiendum recitandumque pro contione curavit TRADUZIONE: e fece aprire e leggere il testamento davanti al popolo