IHMC Public Cmaps

        Fiestas de fin de año
            Colegio Cervantino
                2011-2012 BIBLIOTECA
                    MEDIA
                        Departamento de Matematicas
                            1 Semestre_Mat
                                Miguel Varo
                                    1º Medio
                                    unidad 6 ec. de la recta

                                        distancia de puntos.jpg
                                        ecuacion de la recta.cmap
                                        Ecuaciones de la recta.JPG
                                        ecuacion general.jpg
                                        fondo.gif
                                        image.jpg
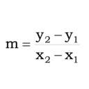
                                        pendiente.gif
                                        plano cartesiano.jpg
                                        punto medio.jpg
                                        punto-pendiente.jpg
                                        recta por dos puntos.JPG