IHMC Public Cmaps

        RADIACIÓN NO IONIZANTE
        Procedimiento medición de la radiación no ionizante

            c. lejano.png
            campo cercano.png
            campo lejano.png
            Campo Lejano.jpg
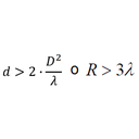
            Fórmula.jpg
            MEDICIÓN.cmap