IHMC Public Cmaps

        Estefania
        Recursos para VECTORS

            Donats els punts A.docx
            EXERCICI DE COMBINACIÓ LINEAL.docx
            EXERCICI DE RESTA DE VECTORS.docx
            EXERCICIS D'EQUACIONS.docx
            EXERCICIS DE DISTANCIES.docx
            EXERCICIS DE PERPENDICULARS I PARAL.docx
            EXERCICIS DE PRODUCTE ESCALAR.docx
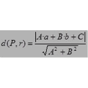
            foormula.jpg
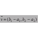
            foormuula.jpg
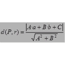
            FORMULA.jpg
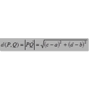
            FORMULA!.jpg
            formula!!!.jpg
            formulaaa.jpg
            image.jpg
            image12.jpg
            image123.jpg
            image1234.jpg
            image12345.jpg
            image147.jpg
            image789.jpg
            image963.jpg