IHMC Public Cmaps

        UNIVERSIDAD ISRAEL
            MATEMÁTICAS
            REPASO DEL ÁLGEBRA

                EXPONENTES Y RADICALES.cmap
                EXPONENTES Y RADICALES.jpg
                FACTORIZACIÓN.cmap
                FRACCIONES.cmap
                LA RECTA DE LOS NÚMEROS REALES.jpg
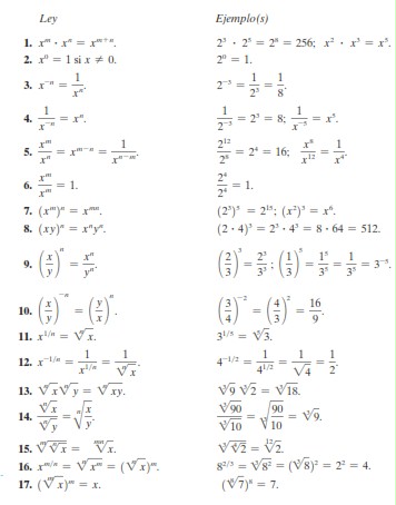
                LEYES DE LOS EXPONENTES.jpg
                LEYES DE LOS EXPONENTES-2.jpg
                LEYES DE LOS EXPONENTES Y RADICALES.jpg
                OPERACIONES CON EXPRESIONES ALGEBRAICAS.cmap
                PRODUCTOS ESPECIALES.jpg
                PROPIEDADES DE LOS NÚMEROS REALES.cmap
                REGLAS DE FACTORIZACIÓN.jpg
                REPASO DEL ÁLGEBRA.cmap