IHMC Public Cmaps

        vvvanesa20
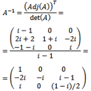
        Recursos para matrices

            adjunta.url
            adjunta.png
            elemental.url
            identidad.url
            introduccion de matrices.url
            inversa.url
            matrices.png
            simetrica.url
            transpuesta.url