IHMC Public Cmaps

        I.E. Proyecto Innovación Docente 2022-23 UR (Instrumentación Electrónica)
            Simulaciones
                Ejercicios
                    Sensores
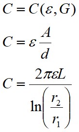
                    Sensores Capacitivos

                        1.- Sensores Capacitivos.cmap
                        Diseño Convertidor C-f para sensor capacitivo de nivel.pdf
                        image.jpg
                        MEDIDA DE NIVEL CON SENSOR CAPACITIVO PLANO.pdf